Salita Moiariello, 16  
80131 - Napoli  
tel. +39.081.5575111  
fax +39.081.5575433  
http://www.oacn.inaf.it   
inaf - home page INAF-OAC- home page
A A A
 

Studio Fotometrico di variabili δScuti di presequenza
(PMS) Herbig Ae/Be: test della teoria
di evoluzione e pulsazione stellare 

Pietro Ferrara¹

Supervisor: M. Capaccioli¹,², V. Ripepi², M. Marconi²
¹ Università degli Studi "Federico II", Napoli. Dipartimento di Scienze Fisiche
² Osservatorio Astronomico di Capodimonte


Abstract

Scopo del lavoro di tesi è quello di investigare le proprietà di pulsazione di stelle di pre-sequenza (Pre-Main-Sequence, PMS) di massa intermedia (2-10 masse solari), note in letteratura come Herbig Ae/Be. Lo studio fotometrico dei modi di pulsazione osservati, in confronto con le predizioni di modelli idrodinamici convettivi lineari e non-lineari, permette di ottenere informazioni sulla massa e sullo stato evolutivo delle variabili analizzate in questa tesi.
Le stelle di PMS sono oggetti giovani caratterizzati da un alto grado di attività sotto forma di venti stellari, jets e "outflows", che sono tipiche manifestazioni dell'interazione delle stelle con l'ambiente circumstellare nel quale si sono formate. La variabilità tra gli oggetti di PMS è nota da molto tempo. L'esempio più comune e' costituito dalle variabili T Tauri che mostrano variazioni su scale temporali di qualche giorno o più. Queste stelle sono state interpretate come stelle giovani di piccola massa (0.1 < Masse solari < 1.5-2.0). Già nei primi anni '60 Herbig ipotizzò la possibile esistenza dei corrispettivi delle T Tauri, però di massa (e quindi luminosità) più alta nel diagramma di Hertzsprung-Russel (il diagramma che riporta in ascisse e ordinate rispettivamente la temperatura effettiva e la luminosità delle stelle). Le ricerche di Herbig furono positive: questo Autore trovò numerosi candidati con le caratteristiche giuste; si arrivò, così, alla definizione di una nuova classe peculiare di stelle, le cosiddette Herbig Ae/Be, che restano identificate dalle seguenti caratteristiche: 1) tipo spettrale A o B; 2) presenza di righe di emissione; 3) presenza di un eccesso infrarosso. La maggior parte delle Herbig Ae/Be mostra una variabilità anche notevole (più di una magnitudine) su tempi scala dell'ordine di settimane o anche mesi ed anni. Questo tipo di comportamento è stato interpretato come dovuto alla presenza di materiale (gas e polveri) intorno alla stella, che assorbe più o meno nel tempo il flusso prodotto dalla stella stessa.
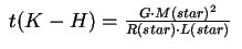
L'esatta origine ed evoluzione delle stelle Herbig Ae/Be è rimasta tuttavia abbastanza controversa fino a tempi recenti, finché gli studi teorici delle fasi di formazione e prima evoluzione stellare di Palla e Stahler (vedere ad es. Palla & Stahler 1993 e bibliografia ivi contenuta), mostrarono che questi oggetti possono effettivamente essere interpretati come stelle di PMS di massa intermedia (1.5 < Mo < 8) che si muovono nel diagramma HR verso la fase di Sequenza Principale (MS) su tempi scala termici (tempo di Kelvin-Helmoltz):
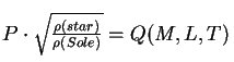
cioè dell'ordine di 105 anni per le più massicce e dell'ordine di 107 anni per quelle di massa più piccola. E' interessante notare come vari autori (Baade & Stahl 1989; Kurtz & Marang 1995; Gautschy & Saio 1996) abbiano anche previsto la possibilità che le stelle di PMS di massa intermedia, durante la loro evoluzione verso la MS, possano attraversare la regione di instabilità per pulsazione stellare normalmente occupata dalle variabili delta Scuti (stelle di MS o post-MS), interpretando così parte della loro attività come dovuta a pulsazioni stellari. L'esistenza di pulsazione tra le Herbig risultava importante per lo studio di questi oggetti, fornendo un ulteriore osservabile, oltre a luminosità e temperatura, rappresentato dal periodo di pulsazione. Notiamo che il periodo, a sua volta, ci dà informazioni sulla massa stellare attraverso la relazione
dove è il rapporto tra la densità stellare e quella solare, Q la cosiddetta costante pulsazionale. Dal punto di vista osservativo, dopo le prime evidenze di pulsazione nelle 2 stelle V588 Mon e V589 Mon dell'ammasso giovane NGC 2264 (Breger, 1972), Kurtz & Marang (1995) trovarono per la stella HR5999 variazioni di piccola ampiezza (0.013 magnitudini) su scale di tempo di circa 5 ore, cioè una tipica variabilità alla delta Scuti.
Stimolati da queste evidenze, Marconi e Palla (1998) hanno calcolato la prima striscia di instabilità (luogo nel diagramma HR nel quale le stelle sono attese mostrare instabilità pulsazionale) teorica per stelle di PMS ed hanno ricavato una stima di massa e luminosità per HR5999 sulla base dei loro modelli.
L'esistenza della citata striscia di instabilità teorica per le Herbig Ae/Be ha quindi stimolato altri Autori alla ricerca di ulteriori delta Scuti tra le Herbig Ae/Be. Da allora una decina di delta scuti di PMS sono state trovate (vedere Marconi et al. 2002 xxxx). Tuttavia siamo ancora lontani dall'avere un campione statisticamente significativo di oggetti di questa classe in modo da verificare efficacemente la teoria.
Lo scopo di questa tesi consiste nell'allargare questo campione tramite l'identificazione di nuovi candidati, farne l'analisi fotometrica (serie temporale), determinarne gli eventuali modi di pulsazione e, infine, fare il confronto con le predizioni teoriche.
Cosa è stato fatto:
I cataloghi di stelle Herbig Ae/Be presenti in letteratura sono stati analizzati per una ricerca sistematica di oggetti che, in base al loro tipo spettrale, cadono dentro la striscia di instabilita' teorica di Marconi e Palla (1998) e che quindi sono aspettati essere pulsanti. Abbiamo quindi individuato 6 candidati. Il lavoro svolto dal sottoscritto su ognuno di questi oggetti e' descritto schematicamente di seguito:
  1. VV Ser: per questa stella erano già a disposizione 3 notti di osservazioni (circa xxx immagini CCD) ottenute al telescopio "Cassini" di Loiano (BO) (diametro=152 cm, equipaggiato con camera CCD) durante giugno-agosto 2002. Per questa stella e per tutte le altre sono state effettuate le operazioni di pre-riduzione (sottrazione bias e "flat-fielding") con il package IRAF e la fotometria d'apertura con package MIDAS. Infine è stata effettuata l'analisi in frequenza che ha rivelato come VV Ser sia variabile (2 modi di pulsazione), anche se l'origine di questa variabilità è controversa;
  2. IP Per: per questa stella erano già disponibili diverse notti osservative nel periodo settembre 2002 - gennaio 2003 (circa 1500 immagini CCD), ottenute a Loiano. La pre-riduzione e la fotometria sono completate. L'analisi in frequenza ha rivelato come IP Per sia variabile (6 modi di pulsazione);
  3. V375 Lac: per questa stella erano già disponibili circa 250 immagini CCD ottenute in 4 notti osservative (3 al telescopio di Loiano + 1 al telescopio OGS delle Canarie, entrambi equipaggiati con camera CCD). La pre-riduzione e la fotometria sono completate. L'analisi in frequenza sembra mostrare una variabilità del candidato (x modi di pulsazione);
  4. BN Ori: per questa stella sono state ottenute dal sottoscritto circa 500 immagini CCD (filtri B e V; 250 per filtro) durante 3 notti osservative dal 13 al 16 febbraio 2003 al telescopio di Loiano. la pre-riduzione e la fotometria sono completate. L'analisi in frequenza sembra mostrare una variabilità a lungo periodo (dell'ordine di 4-5 giorni);
  5. BF Ori: per questa stella sono state ottenute circa 600 immagini CCD (filtri B e V; 300 per filtro) durante 4 notti osservative dal 17 al 20 febbraio 2003 al telescopio di Loiano. La pre-riduzione e la fotometria sono completate. L'analisi in frequenza sembra mostrare una variabilità a lungo periodo (dell'ordine di 4-5 giorni);
  6. V346 Ori: per questa stella erano disponibili circa 900 immagini CCD ottenute in x notti osservative dal x ad x 2003 al telescopio di Loiano. La pre-riduzione è stata completata; la fotometria è in corso di svolgimento.
Nota: Per la stella IP Per è già in corso il confronto con la teoria di pulsazione stellare.

Cosa resta da fare:
Nei prossimi mesi
  1. completamento della fotometria e dell'analisi in frequenza per tutti i target;
  2. confronto con le predizioni della teoria della pulsazione stellare e stima dei parametri intrinseci.

INAF OACN mappa del sito
INAF-Osservatorio Astronomico di Capodimonte ©2006
powered by:mauro gargano
privacy cookies